大泉町城之内公園水質浄化対策報告書
背景
大泉町城之内公園本丸水堀は、桜並木に囲まれた水辺として、四季を通じて町民の憩いの場となっています。しかし、落葉や花びら、鳥の糞などが長年水底に堆積していて、これらを原因とする富栄養化現象が発生、藻類の大量発生は黄緑色に濁らせ、透明度を失うなど水環境は悪化しています。水質指標においても、閉鎖性水域の環境基準であるCOD、SS、富栄養塩類の全窒素TN,全リンTPの測定値は、環境基準を大きく上回っています。
大泉町では、水環境の改善対策として、炭素繊維による水質浄化技術に着目し、JWGと協働にて水質浄化実証を開始しました。
概要
 |
●場 所:群馬県大泉町城之内公園本丸水堀
●水域面積:約4,000u
●水 深:平均1.3m
●水質浄化装置:
平成20年設置 フレームユニット24基
平成21年設置 ロープ吊り下げユニット11セット
遮断シート
平成22年設置 ロープ吊り下げユニット11セット
遮断シート(改良)
循環曝気装置 |
結果
●目視観察
周辺水の影響を受けないよう隔離シートを設置したことにより、実証域内の水質変化が確認できます。設置後1ヶ月には、周辺水域との水色の違いが見られるようにな り、設置後2ヶ月には、下部に設置したフレームユニットが観察できました。3ヶ月において水深約1.3mの水底 部が確認できるほど透明度が増し、炭素繊維表面には水 中の懸濁物質が捕捉吸着され、さらには多くの水生生物が周辺に生息していることが確認できます。炭素繊維により水質浄化と生態系改善が目視にても確かめられました。 |
 |
| 設置前 |
 |
 |
| 周辺水域との比較 |
設置後3ヶ月 |
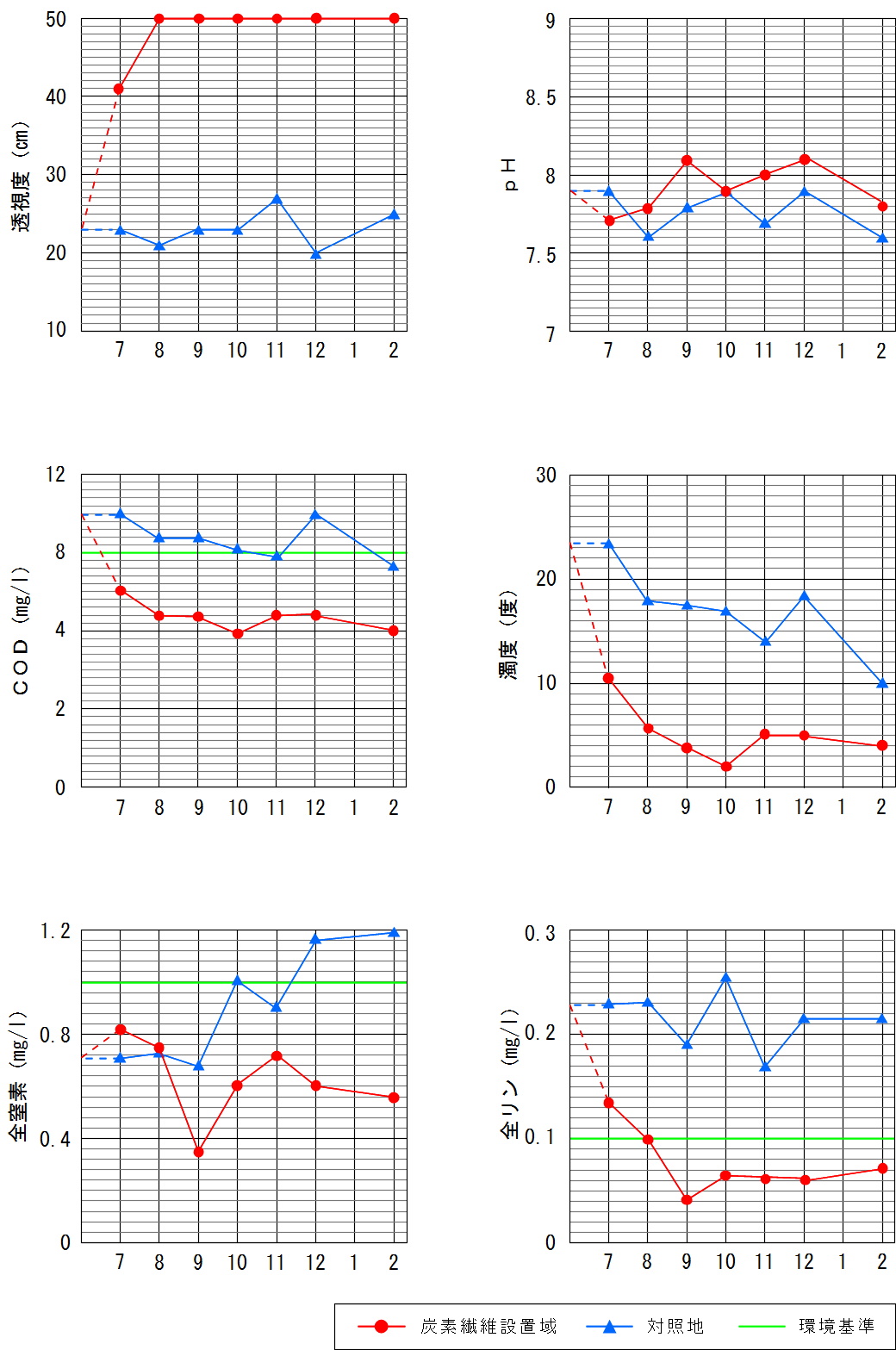
●水質測定
水質は、COD、濁度、全窒素、全リンのいずれも段階的に数値が低下し、設置後2ヶ月以降の結果は環境基準の基準値を下回っています注)。また、対照地測定値に比べ大幅に低い数値を示していることから、炭素繊維水質浄化材により水質が改善していることが解ります。
水中より浮遊懸濁物質が、炭素繊維に吸着除去されたことにより透視度は上がり、濁度は大きく低下しました。さらに全窒素、全リンなど栄養塩類の低下によりアオコ・藻類の発生が抑制され、CODの低下は有機物の分解除去を示し、水域内の水質浄化が進んだことが示されました。
注)水質汚濁に係る環境基準(環境省):生活環境の保全に関する環境基準の河川(2)湖沼を参考。
| 平成22年度の水質変化 |
 |
※透視度は、50cm透視度計によるため50cmが測定限界である。実際の透視度は約1.3mの水底が見透せる ことから1m以上あると推測されます。
| 水質指標の経年変化 |
 |
●生物状況
実証域内では、炭素繊維周辺や隔離シート面にスジエビの群生が観られ、他にも小魚など多くの水生生物が生息していることが観察できます。炭素繊維表面の顕微鏡観察では、多くの吸着汚濁物質や微生物の分解産物の他に、藻類や動物プランクトン等の微生物が観られることから、スジエビや小魚類は、炭素繊維に付着したそれら微生物を捕食するため炭素繊維の周辺に多く集まっていると思われます。炭素繊維による水質浄化効果に伴い、大小様々な水生生物が集まり、豊かな生態系が形成されています。
 |
 |
水中の炭素繊維の様子
|
隔離シートに集まったスジエビ
|
 |
 |
| スジエビ |
炭素繊維に付着した懸濁物と藍藻(200倍) |
まとめ
高い水質浄化効果を得るためには、炭素繊維に汚濁物質を接触させ揺れを起こすための水流、好気性菌を活性化させ動物性プランクトンを増殖させるための酸素が必要です。城之内公園水堀は、流出入水が無く滞留して、貧酸素状態であるため、循環曝気装置を設置し、炭素繊維水質浄化装置と組み合わせて対策を行うことが有効です。
本実証では、炭素繊維設置域に小型で高効率の循環曝気装置を設置したことにより、設置後1ヶ月から目視にても透明度が改善されるなど、短期間で大きな水質浄化効果が図れ、併せて、エビや小魚の水生生物の増加など生態系の保全効果も得ることができました。
適度な水流と酸素供給により、炭素繊維はその効果を大きなものとし、炭素繊維表面に大量の動物性プランクトンなどの微生物が活性した状態で固着して、CODやSSをはじめ、栄養塩類である窒素、リンの低減が達成され、アオコ・藻類の直接捕食による分解により水質浄化が促進され、炭素繊維による大きな水質浄化効果を確認できました。
城之内公園本丸水堀の富栄養化現象の解決には、水堀全域に本実証で効果が確認された「炭素繊維+循環曝気」による水質浄化装置を適量設置することにより、全水域の水質浄化が図られると考えられます。
|